컨텐츠로 건너뛰기
개념스터디
해석학 Ex
현대대수학 Ex
Sub Ex
수학교육론
YouTube
칸쌤수학
Search
검색:
검색
전공수학
기출문제 스터디
미분적분학
해석학
현대대수학
위상수학
선형대수학
복소해석학
미분기하학
확률과통계
이산수학
정수론
[카테고리:]
1990
5 Posts
1990
,
복소해석학
편각
2020-12-12
—
0 Comments
1990
,
복소해석학
해석함수
2020-12-12
—
0 Comments
1990
,
해석학
평균값정리
2020-12-12
—
0 Comments
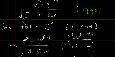
1990
,
해석학
로피탈정리
2020-12-12
—
0 Comments
1990
,
선형대수학
행렬식
2020-12-05
—
0 Comments
구독
구독함
전공수학
가입하기
이미 WordPress.com 계정을 가지고 계신가요?
바로 로그인하세요.
전공수학
구독
구독함
가입
로그인
이 콘텐츠 신고하기
리더에서 사이트 보기
구독 관리
이 표시줄 접기
워드프레스닷컴으로 이처럼 사이트 디자인
시작하기